A marked graph is a Petri net in which every place has exactly one incoming arc, and exactly one outgoing arc. This means, that there can not be conflict, but there can be concurrency. Mathematically: . Marked graphs are used mostly to mathematically represent concurrently running operations, such as a multiprocessor machine's internal process state. This class of Petri nets gets the name from a popular way of representing them: as a graph where each place is an edge and each transition is a node.

Uses

Marked graphs are mainly used to mathematically represent concurrent mechanisms, in order to be able to mathematically derive certain characteristics of the design.

Example

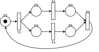
Marked Graph example
Marked Graph example

This example presents a Marked Graph, where a process is forked at transition T1 and synchronised at T4. In between, two operations take place in non-deterministic fashion, T2 and T3. In fact, Petri nets are so much non-deterministic, that they may not take place at all. But the reason for having this non-deterministic property is not this, but to mimic real-life experiences which shows that parallel computing always means that it is impossible to determine which process/thread will finish first i.e. which operation(s) will execute faster. This can be due to waiting for I/O in real world, or just the different parameters given to the processes/threads.

This article is issued from Wikipedia. The text is licensed under Creative Commons - Attribution - Sharealike. Additional terms may apply for the media files.