Lanosterol
Ball-and-stick model of lanosterol
Names
IUPAC name
Lanosta-8,24-dien-3β-ol
Systematic IUPAC name
(1R,3aR,5aR,7S,9aS,11aR)-3a,6,6,9a,11a-Pentamethyl-1-[(2R)-6-methylhept-5-en-2-yl]-2,3,3a,4,5,5a,6,7,8,9,9a,10,11,11a-tetradecahydro-1H-cyclopenta[a]phenanthren-7-ol
Identifiers
3D model (JSmol)
2226449
ChEBI
ChEMBL
ChemSpider
DrugBank
ECHA InfoCard 100.001.105
EC Number
  • 201-214-9
KEGG
MeSH Lanosterol
UNII
  • InChI=1S/C30H50O/c1-20(2)10-9-11-21(3)22-14-18-30(8)24-12-13-25-27(4,5)26(31)16-17-28(25,6)23(24)15-19-29(22,30)7/h10,21-22,25-26,31H,9,11-19H2,1-8H3/t21-,22-,25+,26+,28-,29-,30+/m1/s1 checkY
    Key: CAHGCLMLTWQZNJ-BQNIITSRSA-N checkY
  • InChI=1/C30H50O/c1-20(2)10-9-11-21(3)22-14-18-30(8)24-12-13-25-27(4,5)26(31)16-17-28(25,6)23(24)15-19-29(22,30)7/h10,21-22,25-26,31H,9,11-19H2,1-8H3/t21-,22-,25+,26+,28-,29-,30+/m1/s1
    Key: CAHGCLMLTWQZNJ-BQNIITSRBP
  • C[C@H](CCC=C(C)C)[C@H]1CC[C@]2(C)C1CCC3=C2CC[C@H]4C(C)(C)[C@@H](O)CC[C@]34C
Properties
C30H50O
Molar mass 426.71 g/mol
Melting point 138 to 140 °C (280 to 284 °F; 411 to 413 K)
Except where otherwise noted, data are given for materials in their standard state (at 25 °C [77 °F], 100 kPa).
☒N verify (what is checkY☒N ?)
Infobox references

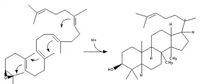
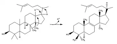
Lanosterol is a tetracyclic triterpenoid and is the compound from which all animal and fungal steroids are derived. By contrast, plant steroids are produced via cycloartenol.[1]

Role in the biosynthesis of other steroids

Elaboration of lanosterol under enzyme catalysis leads to the core structure of steroids. 14-Demethylation of lanosterol by CYP51 eventually yields cholesterol.[2]

Simplified version of the lanosterol synthesis pathway with the intermediates isopentenyl pyrophosphate (IPP), dimethylallyl pyrophosphate (DMAPP), geranyl pyrophosphate (GPP), and squalene shown. Some intermediates are omitted.

Biosynthesis

DescriptionIllustrationEnzyme
Two molecules of farnesyl pyrophosphate condense with reduction by NADPH to form squalenesqualene synthase
Squalene is oxidized to 2,3-oxidosqualene (squalene epoxide)squalene monooxygenase
2,3-Oxidosqualene is converted to a protosterol cation and finally to lanosterollanosterol synthase
(step 2)(step 2)

Research

Lanosterol has been identified as a key component in maintaining eye lens clarity.[3] Pre-clinical research has identified Lanosterol as a possible agent for the reversal and prevention of cataracts.[4] In vivo experiments on dogs showed significant reversal of cataracts within 6 weeks of lanosterol injection.[5] In 2018, Lanosterol was shown to improve lens clarity in cells with lens clouding due to aging or physical stressors.[6] A subsequent study in 2022 by Kehao Wang, Hoshino, Kentaro Uesugi, Naoto Yagi, Pierscionek and Andley found positive results on the optics of the lens in mice with cataracts.[7]

Use

Lanosterol is an ingredient in over-the-counter ophthalmic products to prevent cataracts. However, the solubility and bioavailability of lanosterol is not conducive to aqueous formulations.[8] Heliostatix Biotechnology claims to have a method of solubilizing lanosterol for use in aqueous products.[9]

See also

References

  1. Schaller, Hubert (May 2003). "The role of sterols in plant growth and development". Progress in Lipid Research. 42 (3): 163–175. doi:10.1016/S0163-7827(02)00047-4. PMID 12689617.
  2. "Do Lanosterol eye drops work for dogs? - PetACS Pet Health Products". petacs.com. Retrieved 2023-06-06.
  3. Huff, M; Telford, D (July 2005). "Lord of the rings – the mechanism for oxidosqualene:lanosterol cyclase becomes crystal clear". Trends in Pharmacological Sciences. 26 (7): 335–340. doi:10.1016/j.tips.2005.05.004. PMID 15951028.
  4. Zhang, K.; Zhao, L.; Zhu, J.; Hou, R.; Wang, S.; Yan, Y. (2016). "Lanosterol reversal of protein aggregation in cataract". Acta Ophthalmologica. 94. doi:10.1111/j.1755-3768.2016.0033.
  5. Zhao, Ling; Chen, Xiang-Jun; Zhu, Jie; Xi, Yi-Bo; Yang, Xu; Hu, Li-Dan; Ouyang, Hong; Patel, Sherrina H.; Jin, Xin; Lin, Danni; Wu, Frances; Flagg, Ken; Cai, Huimin; Li, Gen; Cao, Guiqun; Lin, Ying; Chen, Daniel; Wen, Cindy; Chung, Christopher; Wang, Yandong; Qiu, Austin; Yeh, Emily; Wang, Wenqiu; Hu, Xun; Grob, Seanna; Abagyan, Ruben; Su, Zhiguang; Tjondro, Harry Christianto; Zhao, Xi-Juan; Luo, Hongrong; Hou, Rui; Jefferson, J.; Perry, P.; Gao, Weiwei; Kozak, Igor; Granet, David; Li, Yingrui; Sun, Xiaodong; Wang, Jun; Zhang, Liangfang; Liu, Yizhi; Yan, Yong-Bin; Zhang, Kang (July 2015). "Lanosterol reverses protein aggregation in cataracts". Nature. 523 (7562): 607–611. Bibcode:2015Natur.523..607Z. doi:10.1038/nature14650. PMID 26200341. S2CID 4469138.
  6. Shen, Xinyue; Zhu, Manhui; Kang, Lihua; Tu, Yuanyuan; Li, Lele; Zhang, Rutan; Qin, Bai; Yang, Mei; Guan, Huaijin (11 July 2018). "Lanosterol Synthase Pathway Alleviates Lens Opacity in Age-Related Cortical Cataract". Journal of Ophthalmology. 2018: 1–9. doi:10.1155/2018/4125893. PMC 6079410. PMID 30116630.
  7. Wang, Kehao; Hoshino, Masato; Uesugi, Kentaro; Yagi, Naoto; Pierscionek, Barbara K.; Andley, Usha P. (2022-05-16). "Oxysterol Compounds in Mouse Mutant αA- and αB-Crystallin Lenses Can Improve the Optical Properties of the Lens". Investigative Ophthalmology & Visual Science. 63 (5): 15. doi:10.1167/iovs.63.5.15. ISSN 1552-5783. PMC 9123516. PMID 35575904.
  8. Daszynski, Damian M.; Santhoshkumar, Puttur; Phadte, Ashutosh S.; Sharma, K. Krishna; Zhong, Haizhen A.; Lou, Marjorie F.; Kador, Peter F. (2019). "Failure of Oxysterols Such as Lanosterol to Restore Lens Clarity from Cataracts". Scientific Reports. 9 (1): 8459. Bibcode:2019NatSR...9.8459D. doi:10.1038/s41598-019-44676-4. PMC 6560215. PMID 31186457.
  9. Heliostatix.org

Further reading

This article is issued from Wikipedia. The text is licensed under Creative Commons - Attribution - Sharealike. Additional terms may apply for the media files.